Capitolo: collegamenti notturni nel fine settimana a Monopoli

Autore Redazione Canale 7 | sab, 13 lug 2024 12:12 | 910 viste | Monopoli Trasporto-Pubblico Orari-Estivi Attualità

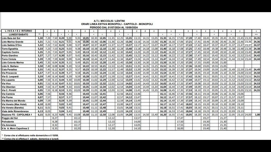
Ultima corsa alle 00,35 e prima corsa alle 5,30.

Fino al 15 settembre 2024 nel fine settimana si rafforza il numero di corse dal centro città per il Capitolo e viceversa.

 

 

Alle regolari corse giornaliere, ogni venerdì, sabato e domenica se ne aggiunge un’altra notturna e una all’alba.

 

 

L’ultima corsa della giornata parte dal capolinea della Stazione Fs alle ore 24 (ore 23 dal lunedì al giovedì) e da via Capitan Pirrelli n. 26 alle ore 00,10 e arriva al Capitolo (Baia del Sole) alle ore 00,35.

 

 

Nel corso del tragitto il bus potrebbe effettuare fermate intermedie su richiesta.

 

 

L’ultima corsa dal Capitolo è alle ore 00,35 (ore 23,35 dal lunedì al giovedì) con arrivo in via Capitan Pirrelli alle ore 00,55 e alla stazione Fs alle ore 01,00 con 13 fermate intermedie su richiesta.

 

 

Un’altra corsa mattutina del weekend (ogni sabato, domenica e lunedì) e alle ore 5,30 da Capitolo (Baia del Sole) con arrivo in via Capitan Pirrelli n. 26 alle ore 6,05 e al capolinea Stazione Fs alle ore 6,15 (dal martedì al venerdì la prima partenza è alle ore 7,20).

Aggiornamenti e notizie